返回
分享

李鴻誠 - 電路學課程

0.0
(0) 0次僱用
通過身分認證
基隆市暖暖區

照片/影片(10)

李鴻誠 -  補習班解題
李鴻誠 - 補習班解題
李鴻誠 - 補習班解題
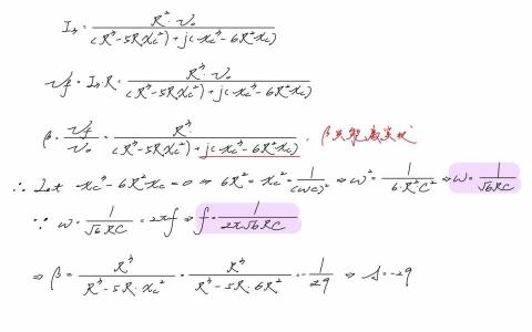
李鴻誠 - 基本電學教學片段-1
李鴻誠 - 基本電學教學片段-2
李鴻誠 - 電子學教學片段
李鴻誠 - 110學年度書卷獎
李鴻誠 - 111學年度書卷獎
李鴻誠 - 112學年度書卷獎
李鴻誠 - 大學應屆學業總成績第一名畢業

專家介紹

自我介紹:
您好,我是李鴻誠,畢業於國立臺北科技大學電子工程系,目前就讀國立臺灣科技大學電子工程研究所,主修類比/電源管理IC設計。
—————————————————————
經歷:
高中市長獎畢業並且統測成績為全校跨類群總榜首,同時專業科目(一)滿分(基本電學、電子學皆為100)
大學學業總成績第一名畢業,並榮獲110-113學年度 四次書卷獎。

其中大學主修專業科目成績如下:
電子學(一):91
電子學(二):94
電路學(一):99
電路學(二):99
電磁學:92
電磁波:94
類比積體電路設計:96
電力電子積體電路設計:96
—————————————————————
教學經驗:

1.補習班:
曾擔任補習班輔導老師三年(基本電學、電子學、數位邏輯、高職數學C、計算機概論)

2.家教:
曾擔任高職一年級學生 電學家教 半年
曾擔任大學IC設計家教並完成設計 半年
曾擔任高職三年級學生 統測總複習家教 兩年(錄取國立臺北科技大學)
曾擔任高職一年級學生 電學家教
目前擔任高職三年級學生 統測總複習家教
目前擔任高職三年級學生 統測總複習家教

主要教學科目:
基本電學
電子學
數位邏輯
高職數學

專業證照

服務項目

服務方式 到府服務、線上服務
學生身份 高中/高職生、大學生、社會人士、其他

服務時段

星期一
18:00 - 21:00
星期二
18:00 - 21:00
星期三
18:00 - 21:00
星期四
18:00 - 21:00
星期五
18:00 - 21:00
星期六
09:00 - 21:00
星期日
09:00 - 21:00

電路學課程相關評價

0.0
0 評價

常見問題

1.自我介紹
2.專業背景
3.服務方式
4.收費方式
5.來往客戶
6.案例分享
電路學課程
洽談後報價