返回
分享

羅康禹

0.0
(0) 0次僱用
通過身分認證
桃園市中壢區

專家介紹

目前就讀於中央大學生醫碩二

目前在奧林匹克補習班擔任一對一數學老師
曾經擔任補習班解題老師 半年
輔導老師 一年


曾經獲得IMC數學競賽優等獎
109學測數學 前標
國中會考 A+
每個月都有師資培訓

經歷:
目前 國小五年級數學從 70 -> 穩定90以上
(班上前三)
國小三年級數學
國中一年級數學

曾經 國小六年級數學 半年
國小五年級數學 一年
國中二年級理化 半年
國中三年級數學 一年
國中一年級數學 兩年

照片/影片(5)

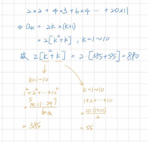
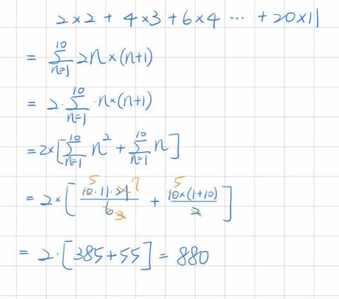
羅康禹 - 上課的其中一個題目
羅康禹 -
羅康禹 -
羅康禹 -
羅康禹 -

專業證照

服務項目

數學家教

服務時段

星期一
16:00 - 23:00
星期二
16:00 - 23:00
星期三
16:00 - 23:00
星期四
16:00 - 23:00
星期五
16:00 - 23:00
星期六
休息
星期日
09:00 - 23:00

相關評價

0.0
0 評價

常見問題

1.自我介紹
2.專業背景
3.服務方式
4.收費方式
5.來往客戶
6.案例分享
7.專業建議