返回
分享

周歆苹

5.0
(1) 1次僱用
通過身分認證
台北市大安區

專家介紹

🎓學歷:
私立衛理女中
台北市立中山女高
國立台灣大學
💯成績:
會考:數學A++,自然A++,英文A++
學測:數學15級分,自然14級分,英文14級分
📌經驗:
補習班輔導經驗「1」年:國中數學、英文、國小全科
1對1家教經驗「4」年:國中數學、國中理化、國中英文、國中生物、高中數學、高中物理及化學
📖教學方式:
課程規劃:不同學生規劃不同課程進度與學習進度,讓學生跟著進度表完成即可。
數理:主要以課本及講義為主,但配合圖形及繪圖解說,方便學生理解題目以及加深記憶。
英文:教導自然發音,同時透過文章教學生理解單字,而不是死記單字,並以學生感興趣之主題去練習英文聽力。
生物:透過圖、影片及課外相關知識豐富學生對於生物的興趣,同時加深其記憶。
🧠教學理念:
上課不是一昧解題,而是配合生動活潑的教學方式提升學生學習興趣,培養其主動學習,同時以鼓勵式的教育去提升學生自信心。
📚目前學生:
一位高一生的數學、物理及化學
現在也有在教學的學生,因此對現在教材非常熟悉!

本身沒有汽機車,希望面授地點能夠在捷運站附近~可以提供免費試教,謝謝!

照片/影片(7)

周歆苹 - 家長回饋
周歆苹 - 家長回饋
周歆苹 - 家長回饋
周歆苹 - 學生回饋
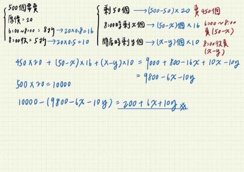
周歆苹 - 幫學生解題過程
周歆苹 - 幫學生解題過程
周歆苹 - 幫學生解題過程

服務項目

數學家教 理化家教 生物家教

服務時段

星期一
休息
星期二
休息
星期三
18:00 - 21:00
星期四
休息
星期五
18:00 - 21:00
星期六
09:00 - 12:00
星期日
09:00 - 12:00

相關評價

5.0
1 評價

成交案例

(1)
英文家教
台北市 松山區
2023-08-24

常見問題

1.自我介紹
2.專業背景
3.服務方式
4.收費方式
5.案例分享