返回
分享

小傑老師 - 數學家教

4.3
(9) 8次僱用
通過身分認證
提供安心支付
桃園市蘆竹區

數學家教服務說明

一對一數學家教,國小到高中、大學微積分、線性代數、離散數學、工程數學等都沒問題
幫助學生學好數學,還請務必先告知學生情況,好以安排與規劃
數學講究理解,不是死背
期望用我的數學專業,帶領學生了解數學的奧妙

有實體教室,要線上上課也可以
詳情還請私訊討論喔

照片/影片(5)

小傑老師 - 工程數學 線上課筆記 ,線上課都會以google meet + ipad goodnote 做線上教學,也會將寫好的匯出為pdf 檔案給學生
小傑老師 - 自編講義
小傑老師 - 圖例說明sin cos的平方關係
小傑老師 - 收集眾多數學段考考卷 ,這些資源都會分享給學生
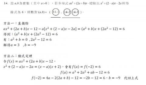
小傑老師 - 每年學測都會寫詳解,做出分析與評論,圖為112 學測數學 14詳解

專家介紹

我是小傑老師,畢業於中央大學數學所,從小就對數學充滿熱愛,因此選了數學系就讀,大學開始擔任數學家教,至今有五年的經驗,教導國小至高中數學、大學微積分也都行。

重視思考推理,公式不要背,而是多想想為什麼,至今我也不斷持續學習數學中,無論是想要學好數學還是想更上一層樓的人都歡迎

期望讓大家了解數學的有趣!

服務項目

服務方式 營業據點、線上服務
教學項目 國小課程、國中課程、高中課程、高職課程、其他
國小課程 二年級、三年級、四年級、五年級、六年級、其他
國中課程 國一上學期、國一下學期、國二上學期、國二下學期、國三上學期、國三下學期、會考總複習、其他
高中課程 高一上學期、高一下學期、高二上學期、高二下學期、高三上學期、高三下學期、學測總複習、分科測驗總複習、統測總複習、其他
高職課程 高一上學期、高一下學期、高二上學期、高二下學期、高三上學期、高三下學期、學測總複習、分科測驗總複習、統測總複習、其他

服務時段

星期一
09:00 - 24:00
星期二
09:00 - 24:00
星期三
09:00 - 24:00
星期四
09:00 - 24:00
星期五
09:00 - 24:00
星期六
09:00 - 24:00
星期日
09:00 - 24:00

數學家教相關評價

4.3
9 評價

數學家教相關成交案例

(8)
數學家教
桃園市 平鎮區
2024-09-03
數學家教
高雄市 三民區
2024-07-15
數學家教
新北市 淡水區
2024-03-16
數學家教
台中市 太平區
2024-02-26
數學家教
台北市 中正區
2024-02-05
顯示最近8筆

常見問題

1.自我介紹
2.專業背景
3.服務方式
4.收費方式
5.來往客戶
6.案例分享
7.專業建議
數學家教
參考價
$600
/小時起