返回
分享

陳仁荃

5.0
(1) 1次僱用
通過身分認證
高雄市鼓山區

專家介紹

本身喜歡數學
在交大修課時微積分99分,線性代數98分,微分方程99分,平常無聊時也會在FB大學數學解題
我也會一點數理統計和C++

照片/影片(10)

陳仁荃 - 過去幫忙解過的問題,提供了3種方法
陳仁荃 - 點到距離公式的證明,提供2種作法
其中第二種方法只要國中數學程度就可以理解
陳仁荃 - 曾經解過的積分題,提供3種方法
陳仁荃 - 我解題通常會提供想法,然後告訴你怎麼推廣
如圖所示
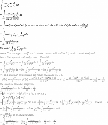
陳仁荃 - 其中一題積分,結合複變函數的Residue Theorem解題
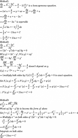
陳仁荃 - 一階微分方程,提供3種解題方向
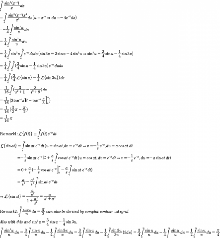
陳仁荃 - 結合Laplace Transform解積分題
同時分享一些相關的概念
陳仁荃 - 關於機率導論一題的2種做法
陳仁荃 - 複雜的積分,只要可以做,都可以幫您試看看
(當然可能要花不少時間)
陳仁荃 - 一題三角函數積分

服務項目

數學家教 電腦課程 程式語言家教 統計學課程 微積分課程 工程數學課程

相關評價

5.0
1 評價

成交案例

(1)
統計學課程
台北市 文山區
2024-01-10

常見問題

1.自我介紹
2.服務方式
3.收費方式
4.專業建議