返回
分享

孟慶恩

5.0
(1) 1次僱用
通過身分認證
新北市蘆洲區

專家介紹

畢業於中山女高,現就讀於高雄大學電機系,曾參與數次國中小營隊及高中物理手作營擔任助教,熟悉國小全科、國中數學理化、高中數學物理。
也學習吉他超過三年,高中參加吉他社,也有過多次演出。

照片/影片(5)

孟慶恩 - 擔任物理手作營助教
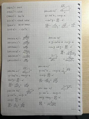
孟慶恩 - 數學筆記
孟慶恩 - 數學筆記
孟慶恩 - 物理筆記
孟慶恩 - 物理筆記

服務項目

數學家教 英文家教 伴讀/陪玩 吉他教學 國小課後輔導 國文家教 物理家教 理化家教 烏克麗麗教學

相關評價

5.0
1 評價

成交案例

(1)
數學家教
高雄市 楠梓區
2023-04-13