返回
分享

陳幼軒

0.0
(0) 1次僱用
通過身分認證
新北市永和區

專家介紹

本人目前就讀國立台灣大學藥學系

專長科目: 高中物理、高中化學、高中生物

教學項目:校內進度、學測、指考總複習
、國中升高中銜接課程、線上解題

課業表現:
110指考:物理:80 (頂標66,PR97)
化學:90.4(頂標79,PR99)
生物:90.6(頂標82,PR98)
110學測:自然:15(頂標13)
國中會考:自然:A++
生物奧林匹亞初試通過
高中校內化學能力競試佳作

教學經歷:目前總教學資歷約4年
snapask解題老師(自然科)
指考化學總複習家教(1名)(薇閣高中)
指考物理化學生物線上解題家教
高一化學家教(1名)(延平高中)
高二、高三物理家教(6名)(成功高中、明倫高中、竹林中學、北一女中、內湖高中、建國中學)
高二、高三化學家教(4名)(成功高中、北一女中、內湖高中、建國中學)
學測自然總複習(3名)(成功高中、明倫高中->繁星錄取中央電機、內湖高中->繁星1%錄取高醫心理)
分科物理總複習(1名)(東山高中->錄取成大物理、內湖高中)


教學方式:目前上課的話會以市售的講義為主,我會再斟酌孩子的狀況或是學校的上課內容再進行補充,或者是學生有學校的自編講義也可以。
至於課程進行的方式,我會讓孩子先聽完觀念和內容的講解後,每一個內容大概做2~3題練習,讓孩子都用具體的例子來了解抽象的觀念該如何運用,我也會在孩子練習時觀察或詢問學生檢驗孩子是否有哪些觀念是還不清楚的,之後確定孩子沒問題後進度才會接著下去,畢竟其實每個孩子的狀況都不盡相同,我也會即時的給予幫助,最後,每一次上課我也會根據孩子的狀況出不等量的習題讓孩子回去練習,下次再來檢討考卷,希望能藉由上課的講解以及題目的練習能讓教學的效益最大化,讓孩子對知識的掌握或是考試都能有所進步。

此外,如果小朋友對生醫領域有興趣,我本身也有實驗室及該領域的相關經驗可以分享,希望有機會能陪伴您的孩子一同成長~

照片/影片(4)

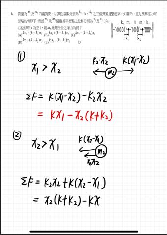
陳幼軒 - 補充筆記
陳幼軒 -
陳幼軒 - 上課筆記
陳幼軒 - 上課筆記

服務項目

物理家教 理化家教 化學家教 生物家教

相關評價

0.0
0 評價

成交案例

(1)
生物家教
台北市 中山區
2023-02-09