返回
分享

陳紋柔 - 國小課後輔導

5.0
(2) 2次僱用
通過身分認證
新竹市北區

照片/影片(3)

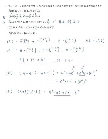
陳紋柔 - 高中矩陣單元
解題過程
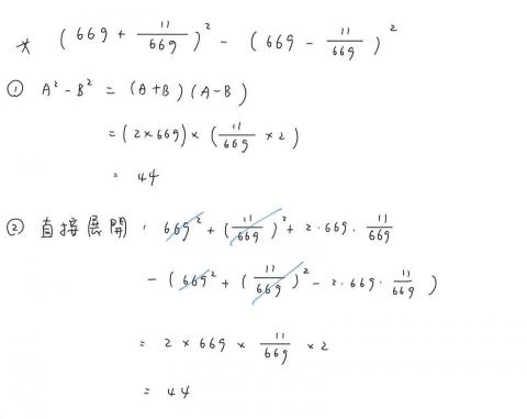
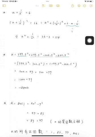
陳紋柔 - 國中乘法公式
陳紋柔 - 國中乘法公式

專家介紹

學歷:
國立中央大學數學系
國立新竹女子高級中學

教學理念:
我認為在數學的學習中最重要的是觀念的確認,唯有確立良好的觀念,再配合適合的思考模式,學習數學的才能有最佳成效
因此在教學上都先以觀念建立為主,確認完觀念後再進行題目的練習,加深印象

家教經驗:
國小數位、國中2位、高中3位

專業證照

服務項目

服務方式 到府服務
學生年級 低年級(1-2年級)、中年級(3-4年級)、高年級(5-6年級)
輔導科目 全科目、國語、英文、數學、自然、社會、其他

服務時段

星期一
19:00 - 21:00
星期二
19:00 - 21:00
星期三
19:00 - 21:00
星期四
09:00 - 21:00
星期五
09:00 - 21:00
星期六
09:00 - 21:00
星期日
09:00 - 21:00

國小課後輔導相關評價

5.0
2 評價

國小課後輔導相關成交案例

(2)
數學家教
新竹市 北區
2025-05-13
伴讀/陪玩
新竹市 北區
2025-04-24

常見問題

1.自我介紹
2.專業背景
3.服務方式
4.收費方式
5.來往客戶
6.案例分享
7.專業建議
國小課後輔導
洽談後報價