返回
分享

林老師數學家教

0.0
(0) 0次僱用
通過身分認證
新北市淡水區

專家介紹

目前就讀淡江大學資工系,擅長高中數學、大學微積分與大二工程數學,高中時期在家裡的補習班,有輔導學生高中數學課程的經驗。目前待在新北市淡水區讀書,可於附近的咖啡廳上課。

照片/影片(17)

林老師數學家教 - 數學筆記大集合
林老師數學家教 - 猜拳的機率公式推導
林老師數學家教 - 猜拳機率對照表
林老師數學家教 - 三角函數與反三角函數的定義域、值域以及圖形
林老師數學家教 - 高中三角函數公式 正面(公式)
林老師數學家教 - 高中三角函數公式 背面(證明)
林老師數學家教 - 高中數據分析公式 正面(公式)
林老師數學家教 - 高中數據分析公式 背面(證明)
林老師數學家教 - 大學工程數學 微分方程公式推導
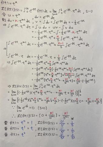
林老師數學家教 - 大學工程數學 拉普拉斯轉換t^n公式
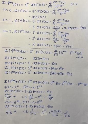
林老師數學家教 - 大學工程數學 拉普拉斯轉換微分公式推導
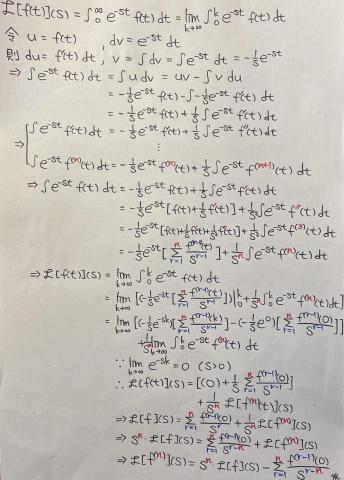
林老師數學家教 - 大學工程數學 拉普拉斯轉換 微分公式範例
林老師數學家教 - 參加2019年AMC12 獲得非常優良
林老師數學家教 - 參加2018年AMC10A 獲得非常優良
林老師數學家教 - 參加2019年TMT11 獲得非常優良
林老師數學家教 - 參加2020年APX 獲得優良
林老師數學家教 - 參加校內能力競賽 獲得數學科第一名

服務項目

數學家教 微積分課程 工程數學課程

相關評價

0.0
0 評價

常見問題

1.自我介紹
2.服務方式
3.收費方式
4.來往客戶