返回
分享

凃老師 - 物理/微積分家教

5.0
(12) 16次僱用
通過身分認證
台中市西區

專家介紹

您好,我是凃老師,目前為專職家教,主要教學科目為物理科目,過去學經歷為中原大學物理學士,清大物理碩士畢(研究方向為理論物理)以下是個人經歷。

自身成績:
106-2 獲得物理系獎學金
107-1 獲得物理系獎學金
107-1 獲得書卷獎、專業課程獎狀(量子物理、電磁學)
107-2 獲得書卷獎、專業課程獎狀
107-2 獲得物理系獎學金
108-1 物理系獎學金
為中原大學物理系第一畢業
109-推甄錄取清大物研所(專業為理論物理)
研究科目為:量子糾纏

主要因為興趣才會讀物理,對於學生我是很希望在未來學生上大學/研究所都能夠選擇到自己感興趣的科系,才會更有動力(自身為轉學生),所以還在國中/高中的學生或許目前無法選擇,但撐過去就是自己的了,未來選擇才會更多樣。 雖然無法使每個人都對物理有所興趣(每個人的興趣皆不同),希望能夠引導學生看見物理為何有趣,我會盡力而為!
謝謝!

教學理念:每位學生的性格、學習過程以及理解程度都會不同,在課程安排上會透過與學生的互動以及對課程的目標安排出適合的教學內容及方式,客製化出適合的內容。

以下為授課方向

1.台灣高中:

目前物理授課範圍有:學測物理、分科物理(指考物理)與各類高中物理相關問題。

以下為部分過去曾指導的客製化課程(我們可以照學生的程度與目標配合出合適的內容)。

(1)國中生(新竹光華國中二年級)順利學習高中物理(舊制指考難度),協助申請新竹實中科學班。
(2)高中生(新竹竹東高中二年級):在暑期時間內將所以學測內容全部補完(文組轉理組),協助開學後能銜接學校課程(*此為短期課程)。
(3)高中生(新竹高商綜高三年級):在幾個月時間內將程度從高一物理提升至高三指考物理(舊課綱)(*此為短期課程)。
(4)高中生(三年級,東莞台商學校):數月內指導高中物理至指考內容完結,使學生順利在物理系中學習(*此為短期課程)。
(5)高中生(新竹實驗中學科學班),協助通過科學班資格考,及指導其高三時大學修課的科目(普通物理與微積分),並依照其程度教授大二工程數學與電磁學等內容,過程也協助指導學測後續面試的二階筆試問題。

近期學生錄取:
劉同學 中國醫學大學
鄭同學 高學師範大學
劉同學 台北醫學大學
-------------------------------
2.美國高中/國際學校 :

目前物理授課範圍有:Hornor/regular physics、AP Physics 1/2/C(Mechanics and E&M)、Algebra、Precalculus、Calculus AB/BC、IB Physics SL/HL。

以下為部分過去曾指導的學校以及各類課程:

(1)Hsinchu International School (HIS 新竹荷蘭國際學校學生):AP Physics 1/2、Algebra、Precalculus,依照學生的程度,透過講解與練習基礎題目讓其學生在第一次unit test 20分到第二次unit test成績80分,並順利往後學習。
(2)Hsinchu County American School (新竹縣康乃爾美國學校 HCAS Grade11、12 學生):AP Physics 1/2、Calculus AB/BC,依照學生程度與興趣,提早介紹到物理會使用到的微積分知識並應用在題目中,使其有應全面的瞭解。
(3)Pacific American School (PAS 新竹亞太美國學學生):Hornor physics、AP Physics 1/2
(4)Taipei American School (TAS 台北美國學校學生):APhysics C(Machanics and E&M)
(5)高雄市私立義大國際高級中學(IIS):IB Physics HL

近期學生錄取:
蔡同學 錄取 University of Washington (UW)
吳同學 錄取 University of New South Wales (UNSW)
-------------------------------
3.大學以上課程:

目前物理授課範圍有:微積分、高等微積分、普通物理、電磁學、工程數學、轉考物理/微積分 等課程

目前授課的方式:會先與您討論您上這個課程的目的以及您的期許,並瞭解您目前的程度與狀況,在透過您手邊的資料(可能是學校的作業、老師上課的筆記、教學大綱)與描述,在進行評估,並預定課程大致上的走向,以下是部分曾指導的課程:
(1)軟體工程師,主要學習科目為:微積分、傅立葉級數/積分,學員主要是以興趣為主,主要想瞭解這些數學背後的意義與計算,我們規劃了相關課程來協助學員能更加瞭解這些內容。
(2)中國醫大學生,主要學習科目為內部轉系考試(物理),依照過去考古題,客製化出合適的內容並協助學員考試(*短期課程)
(3)雪梨大學學生,主要學習科目為學校課程(微分方程式)
(4)政治大學研究生:協助其論文內部的關於投擲物受風力、風阻的物理問題,並建立模型去模擬,並協助其修改與分析。
-------------------------------

希望有機會能互相配合與了解,如果要進行面談或試教,也可再麻煩傳遞相關的上課內容(目前所使用之講義、學生較不熟悉之章節或內容與目前學生狀況),以方便教學時能夠更快瞭解目前問題所在及規劃後續等狀況。如果有需要歡迎聯絡我,也謝謝將此信閱讀到最後 !

照片/影片(9)

凃老師 - 物理/微積分家教 - Killing Vector field
凃老師 - 物理/微積分家教 - Physical Science 課程節錄
凃老師 - 物理/微積分家教 - 近代物理課程節錄
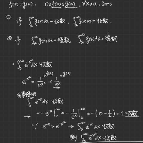
凃老師 - 物理/微積分家教 - 微積分課程節錄
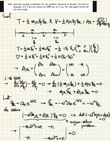
凃老師 - 物理/微積分家教 - Classical Mechanics 課程節錄
凃老師 - 物理/微積分家教 - 物理課程節錄
凃老師 - 物理/微積分家教 - AP physics 課程節錄
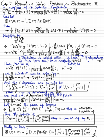
凃老師 - 物理/微積分家教 - Electrodynamics 課程節錄
凃老師 - 物理/微積分家教 - 薄膜干涉

服務項目

數學家教 物理家教 理化家教 基本電學課程 微積分課程 工程數學課程 電磁學課程

相關評價

5.0
12 評價

成交案例

(16)
微積分課程
高雄市 三民區
2026-01-21
物理家教
台中市 北屯區
2025-11-21
物理家教
新北市 板橋區
2025-06-09
微積分課程
新竹市 東區
2025-03-04
電磁學課程
台中市 西屯區
2025-02-28
顯示最近16筆