返回
分享

沈靖軒

0.0
(0) 0次僱用
通過身分認證
台北市文山區

專家介紹

📔 學歷
·國立臺灣大學 光電工程學研究所(2023–2025)
·美國紐約州立大學奧斯威哥分校(SUNY Oswego)交換學生(2023)
·國立中央大學 光電工程學系(2019–2023)
·台北市立景美女子高級中學(2015–2019)

📔 可教授科目
·國小:全科輔導、課業伴讀
·國中:數學、英文、自然(理化、生物)
·高中:數學
支援實體教學與線上教學,時間彈性可議。

📔 教學經驗
·國小:數學 3 位、英文 2 位
·國中:數學 6 位、英文 2 位、理化 4 位
·高中:數學 4 位
具多年一對一教學經驗,學生類型涵蓋資優生與需補強基礎者,擅長建立學習動機與提升成就感。

📔 課業表現
·TOEIC 金色證書:875 / 990
·108學測:英文頂標、英聽 A;數學頂標
·105會考:5A
·繁星計畫:景美女中校內前 4%

📔 教學理念
·重視基礎,穩固根基:以課內內容為主軸,強調基本觀念的建立與熟練度,再逐步引導進階題型與課外延伸。

·因材施教,培養自信:根據學生個性與學習狀況,調整教學方法與節奏,幫助學生逐步克服弱科,建立學習成就感與自信心。

照片/影片(2)

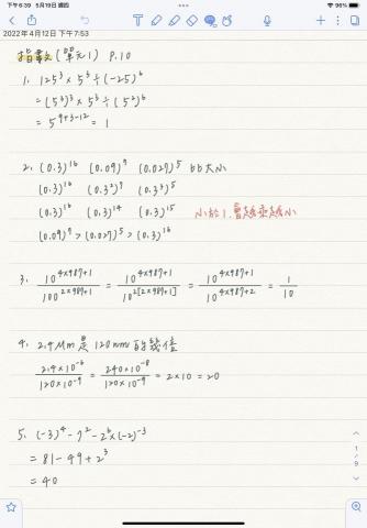
沈靖軒 - 數學單元練習的時候
我會自己找額外的題目給小朋友練習
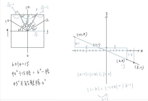
沈靖軒 - 在寫講義後面的題目不會的時候
我會把講解的過程寫在平板上,然後課後可以再傳給小朋友,讓他們複習,比較能加強印象!

專業證照

服務項目

數學家教 英文家教 國小課後輔導

服務時段

星期一
09:00 - 21:00
星期二
09:00 - 21:00
星期三
09:00 - 21:00
星期四
09:00 - 21:00
星期五
09:00 - 21:00
星期六
09:00 - 21:00
星期日
09:00 - 21:00

相關評價

0.0
0 評價

常見問題

1.自我介紹
2.專業背景
3.服務方式
4.收費方式