返回
分享

彭專業高中數學個別指導

0.0
(0) 0次僱用
通過身分認證
台中市西屯區

專家介紹

畢業於清華大學電機系
畢業後於補習班教授高中數學五年
家教經驗從大學時期累積至今已經12年

數學學不好很多原因
1.其ㄧ基本觀念不熟悉,導致基本功不好

2.其二看不懂題目,不知道什麼時候套用什麼觀念以及什麼公式

3.以為能向國中一樣用題海戰術來提高自己的分數,為了以上問題
彭老師,我提供詳細的觀念講解,面對題目的邏輯推理,切入的角度以及學校老師的命題心理學,更扮演同學看不懂問題的「翻譯老師」因為看懂問題了,題目瞬間就簡單一半了,最後搭配上「質」的練習,相信孩子不會再懼怕高中數學

照片/影片(4)

彭專業高中數學個別指導 - 高二下空間中的直線的三種表示方式
彭專業高中數學個別指導 - 矩陣大綱重點
彭專業高中數學個別指導 - 高一上三次函數的標準式與圖形
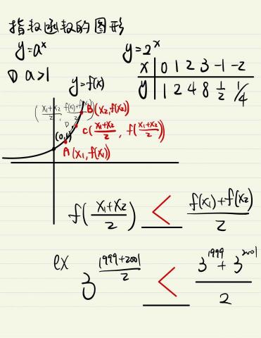
彭專業高中數學個別指導 - 高二上指數函數的圖形

服務項目

數學家教

服務時段

星期一
休息
星期二
09:00 - 21:00
星期三
09:00 - 21:00
星期四
09:00 - 21:00
星期五
休息
星期六
09:00 - 12:00
18:00 - 22:00
星期日
20:00 - 22:00

相關評價

0.0
0 評價

常見問題

1.自我介紹
2.專業背景
3.服務方式
4.收費方式
5.專業建議